模型:袁斯健、杨坤隆、马绍之、闫方甲
执笔:杨燕青、林纯洁、马绍之、邵玉蓉

注:*国家尚未施行严格的封锁措施,高峰人数为根据当前趋势估计的截止时间确诊人数。
来源:第一财经研究院

5月4日,以欧美最早实施“封锁”(3月10日)的意大利“重启经济(reopening)”为标志,全球新冠疫情主要国家正式进入退出“封锁”、重启经济、和病毒共存的大规模实验期。
此前,始于4月20日,疫情相对严重的德国和西班牙开始分阶段开放经济。而疫情较弱的奥地利、丹麦、挪威和捷克等国也已在4月13日到4月底之间分别重启经济。法国计划在5月11日逐步开放。在美国,总统特朗普4月16日宣布分阶段重启美国经济的指导方针后,截至目前,美国已有多州解除或计划解除封锁措施,其中最被关注的是人口众多的加州将在5月8日重启。在亚洲,韩国、日本和新加坡等国从未如中国采取全面封锁措施。而尽管疫情形势依旧严峻,印度也已重启经济。
重启经济的前提是疫情得到控制、并呈现稳定下降趋势(一个最重要指标是新增确诊连续14日下降)。事实上,4月以来,国际大多数“早期爆发国家”(韩国、意大利、伊朗、日本、美国、西班牙、德国、法国、英国、瑞典等)疫情逐渐缓和,尤其是欧美疫情明显转好。然而,在“近期爆发国家”(我们的样本包括:澳大利亚、土耳其、埃及、南非、印度、马来西亚)中,除澳大利亚和土耳其的疫情得到初步控制,其他新兴市场和欠发达国家的疫情还在快速恶化。
图1 100例后主要国家累计确诊病例变化(5月5日)

数据来源:约翰霍普金斯大学、第一财经研究院计算
图2 100例后主要疫情国家新增确诊病例增长(5月5日)

数据来源:约翰霍普金斯大学、第一财经研究院计算
图3 100例后主要疫情国家新增确诊病例增长14日均值(5月5日)

数据来源:约翰霍普金斯大学、第一财经研究院计算
图4 10例后各主要疫情国家死亡病例(5月5日)

数据来源:约翰霍普金斯大学、第一财经研究院计算
可以预期,只要循序渐进,欧美可望在重启经济阶段总结和摸索出一些可行的经验。同时,由于气温的变化,以及病毒变异显示的可能衰退征兆,疫情在欧美大概率不会再度失控。当然,重启并非没有风险,丹麦的案例显示,自其4月14日部分重启经济两周以后,其“基本传染数(R)”已从0.6上升到0.9。
由于重启经济是渐进和局部推进的,其间还可能有反复,全球经济衰退的大格局不会逆转,二季度仍将是宏观经济的低点。而疫情严重的欠发达国家由于缺乏足够的医疗资源,无法通过融资获得财政资金救助和刺激经济,加上资金流出,这些国家会面临疫情和经济的双重灾难。通过国际协调行动救助这些国家,同时减免债务会成为今后一段时间这些国家的核心话题。
为更好的预判全球新冠疫情发展趋势,第一财经研究院自主研发了“基于社会关系网络的病毒传播模型”(下称:社会关系模型),结合业内通常使用的传染病模型SEIR,对国际疫情的发展进行了估算和分析。我们使用约翰霍普金斯大学的1月22日至4月25日的数据,对两组16个国家进行了分析,包括“早期爆发国家”(韩国、意大利、伊朗、日本、美国、西班牙、德国、法国、英国、瑞典)和“近期爆发国家”(澳大利亚、土耳其、埃及、印度、马来西亚、南非)。
通过对新型冠状病毒肺炎在不同阶段的“事实传染数”(经过防疫工作干预后的病毒传播能力R)的测算,使用传染病模型SEIR与第一财经研究院自主研发的“基于社会关系网络的病毒传播模型”两个模型,我们对两组16个国家进行了分析,包括“早期爆发国家”(韩国、意大利、伊朗、日本、美国、西班牙、德国、法国、英国、瑞典)和“近期爆发国家”(澳大利亚、土耳其、埃及、印度、马来西亚、南非)。
3月初,只有韩国、日本、伊朗、美国、英国与申根区一些国家确诊病例超过100例,我们认为这是疫情爆发的关键节点,因此上述国家属于“早期疫情爆发国家”。而澳大利亚、土耳其、埃及、印度、马来西亚与南非在3月中旬以后才开始出现确诊病例快速增长,我们将其归为“近期疫情爆发国家”,这些国家除澳大利亚外都属于新兴经济体。
不同地区呈现出来的“事实传染数”反映了该地区防疫措施的有效性,由于不同模型假设不同,“事实传染数”仅在同一类型的模型中比较才有意义。根据我们的测算,在早期疫情爆发国家中,除了未进行大规模“封锁”的日本与瑞典外,其他国家两个模型的事实传染数均较3月份明显下降,这也意味着各国的抗疫政策已经开始生效。
在近期疫情爆发的国家中,澳大利亚疫情已经得到控制,在两个模型中事实传染数均已低于1,土耳其虽然事实传染数有所下降,但确诊病例增长仍然快于欧美国家。其他4个国家更是处于疫情快速蔓延期,我们根据目前的情况估计了其疫情未来的发展态势。
新兴经济体国家医疗水平相对落后,从目前来看,除埃及以外的国家(土耳其、印度、马来西亚、南非)确诊死亡率均低于全球各国的平均水平(4%),我们认为这或许与检测能力不足有关,大量的病患甚至在死亡后仍无法确诊,这意味着实际感染人数可能高于目前确诊人数。在这些案例中假定漏检比例对死亡病例与确诊病例是一致的,我们通过确诊死亡率的差异重新估计了实际感染人数,并利用SEIR模型估计了实际感染人数的发展趋势。
表1 死亡率调整后实际感染高峰人数与高峰时间(SEIR模型)

注:1)埃及死亡率高于全球平均水平,所以未作调整。2)*疫情仍处在快速爆发期,高峰人数为根据当前趋势估计的截止时间确诊人数。
来源:第一财经研究院
表2 各国达到疫情高峰前确诊病例增长幅度预测(万人)

注:1)当前确诊人数为截至4月26日的数据(约翰霍普金斯大学)
2)土耳其、印度、马来西亚、南非基于SEIR预测确诊人数经过死亡率调整
来源:第一财经研究院
表3 “早期爆发国家”的事实传染数(R)

注:1)日本与瑞典仍处在疫情快速爆发期,所以未估计下降期事实传染数。2)两个模型对于上升期与下降期估计事实传染数的时间窗口存在差别。
来源:第一财经研究院

表5 “近期爆发国家”的事实传染数(R)

注:1)马来西亚、埃及、印度、南非尚处于疫情快速爆发期,SEIR模型未估计下降期的事实传染数。2)马来西亚与南非两国确诊病例数存在明显拐点,因此未进行社会关系模型拟合;社会关系模型并未估计土耳其下降期的事实传染数。3)两个模型对与上升期与下降期估计事实传染数的时间窗口存在差别。
来源:第一财经研究院

从全球范围看,新冠疫情导致的“大封锁”是前所未有的,而循序渐进走出封锁的路程将至少持续到夏季,其间不排除会出现反复,如若存在第二波传染的情况,则将持续全年甚至更久。目前,欧洲各国和美国各州都发布了“退出封锁”的原则和指南,并将实施的时间和步骤等具体决策空间留给了各国(州)。未来欧洲和美国的实践值得高度关注,而德国作为一个可能的最好范本,其案例值得密切跟踪。
欧盟委员会及欧洲理事会4月15日发布了《欧洲解除新冠疫情限制措施的路线图》,是目前全球范围内最清晰和细致的“退出指南”。该报告指出,封锁措施在疫情中挽救了成千上万人的生命,却也付出了高昂的社会与经济代价,并让人们承受了巨大的精神压力。这些限制措施显然不可能无限期地持续下去。随着对病毒和疾病了解的不断深入,对措施的恰当性进行持续评估,各成员国应在尽可能降低疫情对公民健康的影响,且不使医疗卫生系统负担过重的前提下,重新启动经济和社会活动。
1. “退出封锁”和“重启经济”的目标和基本原则
参考各国政府和多个智库关于退出封锁和重启经济的指南和报告,大致基本思路为:放宽社会与经济限制与持续有效的卫生防护相结合,让一些年龄段、地区、社会和商业职能部门可以优先恢复活动。
图5 欧洲各国的限制政策一览(2020年3月)

其目标包括:须防止病毒再次大规模迅速传播,同时缓慢提升公众的自然免疫力(natural immunity);强化医疗卫生体系,确保为尽可能多的新冠病毒感染者及其他严重疾病的患者提供最佳治疗;保护易感染新冠病毒的高危人群;在不危害公众健康的前提下使恢复经济活动成为可能;将对公众基本权利的限制降到最低;尽可能地避免因抗击疫情对公众造成社会和心理上的困难。
图6 美国各州退出限制措施一览
截至5月1日

来源:WSJ
截至4月27日

来源:WSJ
截至4月24日

来源:WSJ
就重启的基本原则而言,欧盟特别提出:行动应基于科学证据;并以公共卫生为核心;行动应进行相互协调,以避免对彼此产生不利影响并造成不必要的政治摩擦。
2. “重启”的门槛和标准
在放松或解除限制措施时,欧盟提出了三项标准,各国可根据自身情况评估标准的具体执行准则。
● 流行病学:流行病学数据应表明病毒传播程度已明显降低,且在持续的一段时间内趋于稳定,可表现为新增感染病例数、住院病例数和重症监护病例数持续减少。目前基本达成一致的共识是新增病例数至少连续14天下降,流行病学专家的讨论则涉及事实传染数R (意见分歧在于R0低于1即可,还是需接近0)。
● 医疗卫生能力:充足的医疗卫生能力可以证明该国家或地区的医疗卫生系统有足够的能力来应对解除限制后可能出现的病例增加。可参考数据包括:重症监护病房的使用率、医院可用床位数、重症监护病房所需药品的可获得性、设备库存的重建情况、治疗的可获得性(尤其是易受感染群体的治疗)、基础医疗服务体系的可用性、可为出院患者或居家治疗患者提供专业护理的医务团队人数,以及解除限制所需的其他要求。
● 检测和监测能力:包括大规模的病毒检测能力,即快速检测试剂盒储备至少足以为所有出现感染症状的人、确诊病例的密切接触者,以及重点工作人员提供检测。当国家具备了针对新冠病毒的抗体检测能力时,治愈病例数量占总人口比例的数据将能得到进一步补充,以衡量人群中特异性免疫的情况。还应具备追踪病毒传播的能力,以及对接触者和疑似病例进行追踪和隔离的能力。
3.“重启”中的防控配套
在重启期间,一系列防控配套措施至关重要。科学家和专家们总结了和病毒共处的所谓TTT的方法,及检测疑似病例(Test)、追踪确诊患者(Tracking)并追溯其接触者(contact Tracing),加上医疗系统的能力(Treatment)我们将其概括为4T策略。此外,还包括个人防护设备(PPE)和措施,以及未来的疫苗和可能的有效药物。
● 检测(Test)
在尚未研制出有效且安全的疫苗之前,快速且结果可靠的大规模检测是疫情防控的关键,也是解除社交隔离措施的先决条件(同时也会影响接触者追踪程序的有效性)。推广自我检测试剂盒是有效方法。一般认为,大规模的检测是重中之重,至少需覆盖出现症状的所有人群,才可能阻断病毒大规模蔓延。目前,疫情得到控制、死亡率比较低的国家普遍检测比例(检测人数/总人口比重)较高,例如德国达到2.47%,新加坡达到2.16%,韩国达到1.19%,比利时达到6.4%,冰岛甚至达到了10%。
● 监测:追踪确诊和追溯密切接触者(Tracking and contact Tracing)
在监测领域,欧盟将建立追踪确诊病例、追溯密切接触者的警报体系,借助数字手段使公民能够采取有效且具有针对性的社交隔离措施。然而,各成员国在采用数字系统的具体技术路线上存在分歧。目前,德国、瑞士和奥地利等国采用苹果和安卓的分布式(peer to peer)数据系统,个人数据将保存在用户手机上,更好实现隐私保护,同时在位置信息的获取方面,主要采用蓝牙技术。而法国、英国和挪威等国将采用集中式(centralized)数据系统,且将同时使用蓝牙和卫星定位技术(GPS)。个人可自愿使用相关移动应用程序。科学家认为,只有使用率超过50%,该系统才会有效阻断病毒传播。
此中涉及隐私和数据保护原则,欧盟特别强调国家公共卫生机构应参与其设计,以确保其严格透明,且其用户始终对自身所产生的数据有控制权。在新冠疫情危机结束后,相关程序应立即停用,相关数据也应立即被删除。
此外,模型预测也十分必要。越来越多的证据表明,许多病例可能是无症状病例,或是轻微症状病例,因此实际感染者的数量很难完全确定。欧盟相关机构将继续使用数学模型对新冠疫情的扩散情况进行分析,并对各成员国所采取的限制措施的潜在影响进行评估和预测。欧盟联合研究中心(Joint Research Centre)和ECDC将集中负责数据收集与建模工作。
● 医疗卫生系统的能力(Treatment)
国家需要为医疗卫生系统能力提供资金保障,并保证训练有素的医护团队人手充足,从而提升医疗卫生系统的能力和韧性,以应对逐步解除限制措施后所不可避免的新感染病例增加。
以欧盟为例,其正在与各成员国进行积极协调,以通过更好的协调机制来平衡各成员国的资源供需要求,确保物资的充足供应。同时,欧盟呼吁相关的医疗设备机构基于各成员国一致确认的清单,优先对抗击疫情所需的医疗设备进行评估与核证;各成员国应设立单一联络点作为相关事务的统筹点,以及测试机构与市场监管机构之间的沟通桥梁。
此外,为协调各医疗设备和药品生产企业之间的合作,欧盟将继续在必要时提供反垄断指导和协调,以应对逐步解除限制措施所需的物资和服务的短缺。委员会与欧盟国家竞争机构(National Competition Authorities)将借助欧洲竞争网络(ECN,European Competition Network)来落实各方针细则的执行。
● 个人防护用品及措施
除了口罩、防护面罩等个人防护用品(PPE)外,最为有效的是个人防护措施相关知识和建议的普及与更新。
● 疫苗和药物
这对于终结新冠疫情而言至关重要,因此需加速疫苗的研发和引入进程。目前公共部门的私人部门正在加紧研发,以推动疫苗尽快问世。根据目前的预计,疫苗的获批和量产最快可能需要一年左右的时间。与疫苗研发同步进行的是治疗方法和药物研发。
4.“重启”的具体措施
欧盟的具体措施建议包括:
● 应采取循序渐进的行动,分阶段解除限制措施。阶段与阶段间应留有充足时间(如一个月),以观察解除限制后的情况变化。
●应逐步用针对性措施取代一般性措施,以使社会能够在持续受保护的情况下逐步恢复正常。可采取的针对性措施包括:
——最易受感染的群体应获得更长时间的保护,例如老年人、慢性病患者以及精神疾病患者;对其他群体的限制可分阶段解除。
——确诊患者或有轻微症状的患者,应继续接受隔离和治疗,以打破传播链。
——安全的替代措施应取代现有的一般性限制措施,从而使社会可以在对风险来源进行针对性控制的情况下,促进逐步回归经济的必要活动。例如,可允许各公共场所逐步恢复服务,但必须同时加强如公共交通枢纽和车辆、商店,以及工作场所的消毒力度和频次,并为服务人员及消费者提供充足的防护措施或设备。
——政府应依据宪制安排来采取更具针对性的干预措施,而非使用特权来宣布国家进入一般紧急状态,同时需确保各项措施的严格透明且能够接受民主问责,从而使公众能够广泛接受相关措施。
● 解除限制措施应从具有影响力的领域开始,再逐步推行至其他领域,同时需视国家具体情况作出相应调整,从而提高相关行动的有效性。
● 应分阶段开放内部与外部边界,最终恢复申根地区的正常流动。
——在开放内部边界时应进行相互协调,优先考虑解除疫情严重程度相对较低的地区的出行限制。一旦各成员国边境地区的流行病学情况充分趋于一致,且社交隔离措施得到广泛且负责任的执行,便可解除相应地区的出行限制和边界管制。同时,应优先考虑解除跨境流动工作者和季节性工作者的出行限制,并应避免人们对这些群体产生任何歧视。各成员国与其邻国应与欧盟委员会保持密切联系,协调促进有关工作,并应努力在过渡阶段保障货物的正常流通及供应链安全。
——外部边界的重新开放,以及非欧盟居民的入境准许应在第二阶段进行,并应结合疫情在欧盟之外的传播情况和出现输入性病例的风险。欧盟各成员国及申根国均应采取社交隔离等措施,并需继续审查和限制来自境外的非必要旅行。
● 应循序渐进地恢复经济活动,以确保政府和企业能够以安全的方式充分适应日益恢复的经济活动。应采取分批或分类复工的模式,优先考虑为较不容易受感染,且对于其他经济活动开展而言必不可缺的群体和经济部门(如交通运输)解除限制。同时,应继续推行社交隔离措施、继续鼓励远程办公,并在工作场所要求所有人员遵守公共卫生措施和安全守则。
欧盟委员会还将建立一个能够识别供应链和价值链出现中断的即时警报系统。该系统将尤其依赖于现有网络,如欧洲企业网络(EEN,Enterprise Europe Network)、智能型专业化创新集群(Clusters)、各商会及贸易协会、中小企业特使(SME Envoys)以及其他欧洲的社会伙伴机构。
● 应逐步开放公共集会。各成员国应基于各类活动的不同性质和情况来制定解除限制的优先级,并建议替代措施。例如:
——学校:推行午餐时间错峰制、加强清洁、缩小班级规模、增加线上学习时间等;
——(零售)商业活动(可分级开放):设置单一店铺容纳人数上限等;
——(餐厅、咖啡厅等)社会活动(可分级开放):限制营业时间、单一店铺容纳人数上限等;
——群众集会(如节日性庆祝活动、音乐会等)。
● 交通运输部门的复工情况,应与解除出行限制的地区情况和其他部门的复工情况同步。应尽快解除如私家车出行等低风险个体交通形式的限制,并在采取必要公共卫生措施的前提下,逐步开放集体性交通(可采取措施包括:降低乘客密度、增加车辆班次、为驾驶员和乘客发放个人防护设备、使用防护屏障、在公共交通枢纽和车辆内配备消毒设备等)。
● 继续推行可防控疫情的措施,例如戴口罩,保持良好的卫生习惯,继续遵守社交隔离措施等。
● 持续监测各类行动,同时为在必要时恢复更严格的限制措施制定详尽标准,并为此做好准备,以防止感染率过度上升和国际传播的进一步蔓延。相应的准备工作应包括加强医疗卫生系统能力,以应对未来可能出现的病例激增。
5.“重启”经济的权衡和路线图
在经济学家看来,选择是否重启、何时重启、如何重启经济和社会运行,其实是对两个变量的权衡:一个是医疗资源可以收治和处理的“公共卫生约束”;另一个则是经济和个人能够容忍的由封锁导致的经济损失和个人生活和精神的“经济社会容忍”,两个变量的均衡决定了重启的速度、节奏和具体措施。如同麦肯锡给出的路线图所表明的那样,重启将是一个渐进、甚至可能反复的阶段性过程。在疫情可能有秋冬季节“第二波”的更糟情形下,和病毒共存可能将持续全年、甚至更久,直到有效疫苗大规模使用,或者民众获得所谓“群体免疫”。
图7 重启经济的四个阶段

来源:麦肯锡
图8 四个阶段的政策措施

来源:麦肯锡
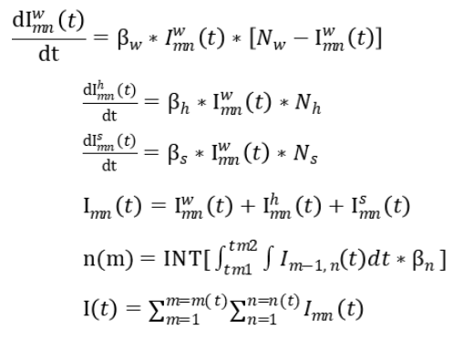
分析中我们采用两个模型,分别为传染病模型SEIR与第一财经研究院自主研发的“基于社会关系网络的病毒传播模型”。
传染病模型SEIR为常用流行病预测模型,该模型模拟了传染病的传播途径,从易感者(S)到潜伏者(E)到感染者(I)再到康复者(R),通过各环节的转化率等指标对传染病的传播规模及时间进行预测。SEIR模型研究的传染病具有潜伏期,与病人接触过的健康人并不马上患病,而是成为病原体的携带者,因此与新冠病毒的传染特性类似,更具有实际意义。
为了解决SEIR模型无法捕捉人员流动减少、之后复工影响以及外来疫情输入等实际情况对疫情的影响。第一财经研究院自主研发了“基于社会关系网络的病毒传播模型”,模型从微观结构入手,通过分析病毒扩散的拓扑结构,建立了工作、家庭与公共场所三个场景,以此刻画病毒的传播。
图1 模型传播的拓扑结构

来源:第一财经研究院
图2 传播途径

来源:第一财经研究院


我们使用约翰霍普金斯大学的1月22日至4月25日的数据,对两个模型进行拟合。
1. 传播场景介绍与传播速率参数设定
工作群是病毒传染的第一个场景。在工作场所内,每个潜伏期患者都能够按相同的传播速率传播给周围的人,当出现多个患者时,传播速率线性叠加,大大增加工作人群内的被传染的概率,我们将工作群传播数据作为基准传播速率(概率)。特别指出的是,在一些地区,单个工作群随着管控力度加强会向下修正。
家庭是病毒扩散的第二个场景。我们将2-3人作为家庭人数的主要分布。家庭场景下人员接触更加频繁,因此假设传播速率是工作环境下的1.5倍。
公共场所是病毒扩散第三个场景。感染者能够将病毒传播给超市、交通类的公共场所内接触的人。我们假定患者接触的平均人数为50人,由于公共场所接触时间短,假定单人的传播速率为工作场合的1/10。
2. 流行病基本传染数(R0)以及防疫工作对于病毒传播的影响
流行病学一般用基本传染数(R0)衡量疾病传播能力,其代表在没有外力干预的情况下,单个感染者可以传染给二代感染者的数量。如果R0小于1,意味着即便是没有防疫措施介入,患者也会逐渐减少;R0等于1,没有防疫工作介入的假设下,感染数也会稳定在一定水平;如果R0大于1,那么感染者将会以指数方式增长。
所以防疫工作的意义就是人为切断病毒传播途径,从而让最终受感染者数低于自然增长的水平,也就是让“事实传染数R”(经过防疫工作干预后的病毒传播能力)低于基本传染数,一旦“事实传染数”低于1,疫情将最终得到控制。
3. 非医疗干预手段与分阶段防控策略
由于缺乏有效药物和疫苗,非药物干预(NPIs)成为了防止疫情转播的主要手段,在我们的社会关系模型中非药物干预直接体现为病毒事实传染数的下降。
非药物干预措施可以分为两类:缓解(mitigation),即降低病毒传播速度以降低对医疗系统的需求;以及抑制(suppression),即扭转疫情态势,使新增病例始终保持在低位。
非药物干预通过降低感染人群规模降低了重症患者的数量,从而缓解了医疗系统的压力,这将进一步降低死亡人数及死亡率。基于伦敦帝国理工学院MCR全球传染病分析中心对不同强度非医疗手段干预场景下每10万人口急诊护理病床需求的分析,可以发现越强力度的非药物干预措施对于医疗资源的需求越小。不过任何形式的缓解措施都可能导致在一定的时间内出现医疗资源挤兑,其程度取决于该地区现有的医疗资源。比如在英国,即便是采取多缓解措施的组合,对紧急护理床位的需求仍然达到现有能力的8倍。因此只采取缓解措施不能阻止医疗资源的挤兑,有条件的国家必须使用更严格的抑制措施。
图3 非医疗手段干预将减少新冠疫情对于医疗资源的需求(以英国为例)

来源:伦敦帝国理工学院MCR全球传染病分析中心
非药物干预措施中的抑制与缓解与我们常提到的疫情防控策略(围堵和缓疫)非常相似。
围堵是在新发传染病疫情早期,在限定的地理范围内,采用医学和非医学(区域封锁、停学和停工等)干预策略和措施,属于临时性,单一目标的策略,目的是集中一切力量迅速阻断疫情传播。
缓疫是为了减轻疫情对医疗服务和社会运行的冲击和压力,采用医学和非医学干预策略和措施,延缓疫情增长速度,推迟流行高峰到来时间,压低峰值的策略。缓疫属于多目标的策略,在防止疫情扩散和稳定社会秩序等多个方面取得平衡,从而避免因为防疫对于经济和社会秩序造成过度冲击。
从中国的情况看,在疫情爆发后迅速实行全面的围堵策略,而在疫情受到控制后,逐步引入缓疫措施。在国际上,很多国家采取了不同的策略组合,在前期主要以缓疫策略为主,尽可能减少疫情对于社会生产生活的影响,而在疫情快速蔓延后,逐步采取围堵策略。
1. 早期爆发国家:美国疫情前景预测
作为全球最大的经济体,美国疫情前景对全球经济有着格外重要的影响。截至4月25日,美国确诊病例为938154例。两个模型都显示美国确诊人数高峰将在6月出现,累计确诊人数将为120万人(社会关系模型)或140万人(SEIR)。
图4 美国累计、新增确诊与死亡病例数

来源:约翰霍普金斯大学,第一财经研究院
图5 SEIR预测的美国确诊人数

来源:第一财经研究院
图6 社会关系模型预测的美国确诊人数

来源:第一财经研究院
2. 早期爆发国家:欧洲
●意大利疫情前景预测
“封锁”近1个半月后,意大利的疫情已经趋于缓和。截至4月25日,意大利确诊病例为195351例,确诊死亡率13.5%。两个模型的预测结果都显示,意大利的确诊人数高峰为26万人,预计高峰时间将在6月初(社会关系模型)或6月中(SEIR)。
图7 意大利累计、新增确诊与死亡病例数

来源:约翰霍普金斯大学,第一财经研究院
图8 SEIR预测的意大利确诊人数

来源:第一财经研究院
图9 社会关系模型预测的意大利确诊与感染人数

来源:第一财经研究院
●西班牙疫情前景预测
西班牙是目前欧洲确诊病例最多的国家。截至4月25日,西班牙确诊病例为223759例,确诊死亡率为10.2%。两个模型都显示,西班牙确诊人数高峰将在27万人,预计高峰时间将出现在6月初(社会关系模型)或6月中(SEIR)。
图10 西班牙累计、新增确诊与死亡病例数

来源:约翰霍普金斯大学,第一财经研究院
图11 SEIR预测的西班牙确诊人数

来源:第一财经研究院
图12 社会关系模型预测的西班牙确诊人数

来源:第一财经研究院
●德国疫情前景预测
德国是欧洲最大经济体。截至4月25日,德国确诊病例为156513例。两个模型都显示,德国确诊人数高峰将在5月底出现,累计确诊人数将为18万人(社会关系模型)或20万人(SEIR)。
图13 德国累计、新增确诊与死亡病例数

来源:约翰霍普金斯大学,第一财经研究院
图14 SEIR预测的德国确诊人数

来源:第一财经研究院
图15 社会关系模型预测的德国确诊人数

来源:第一财经研究院
●法国疫情前景预测
截至4月25日,法国确诊病例为161644例。社会关系模型显示,法国确诊病例将在5月底达到峰值,约为20万确诊病例;SEIR模型显示,确诊病例高峰将在6月初出现,累计确诊病例为22万人。
图16 法国累计、新增确诊与死亡病例数

来源:约翰霍普金斯大学,第一财经研究院
图17 SEIR预测的法国确诊人数

来源:第一财经研究院
图18 社会关系模型预测的法国确诊人数

来源:第一财经研究院
●英国疫情前景预测
目前,英国确诊病例增长在我们关注的欧洲国家中是最快的,而且英国仍受制于检测能力的限制。截至4月25日,英国确诊病例为149569例。两个模型都显示英国累计确诊人数高峰将达到23万人,出现的时间分别为6月底(SEIR)或6-7月(社会关系模型)。
图19 英国累计、新增确诊与死亡病例数

来源:约翰霍普金斯大学,第一财经研究院
图20 SEIR预测的英国确诊人数

来源:第一财经研究院
图21 社会关系模型预测的英国确诊人数

来源:第一财经研究院
●瑞典疫情前景预测
截至4月25日,瑞典确诊病例为18177例。由于未执行严格的“封锁”措施,目前仍难以预测瑞典确诊人数高峰出现的时间。模型显示,5月底瑞典累计确诊人数将至少为2.3万人(社会关系模型)或3万人(SEIR)。
图22 瑞典累计、新增确诊与死亡病例数

来源:约翰霍普金斯大学,第一财经研究院
图23 SEIR预测的瑞典确诊人数

来源:第一财经研究院
图24 社会关系模型预测的瑞典确诊人数

来源:第一财经研究院
3.早期爆发国家:亚太
●韩国疫情前景预测
韩国是国际上最早出现疫情爆发的国家,但也是主要疫情国中最早出现新增确诊人数大幅下降的国家。截至4月25日,韩国确诊病例为10728例。两个模型显示,韩国确诊人数高峰将在4月底(社会关系模型)或5月初(SEIR)出现,两个模型预测的累计确诊人数均为1.1万人。
图25 韩国累计、新增确诊与死亡病例数

来源:约翰霍普金斯大学,第一财经研究院
图26 SEIR预测的韩国确诊与治愈人数

来源:第一财经研究院
图27 社会关系模型预测的韩国确诊人数

来源:第一财经研究院
●日本疫情前景预测
日本新增确诊病例仍处于快速增长期。截至4月25日,日本确诊病例数为13231例。由于没有采取大规模的封锁措施,判断日本疫情高峰仍然困难。两个模型利用现有事实感染数预测了疫情的发展,社会关系模型显示,到6月累计确诊病例将超过3万例;SEIR模型显示日本累计确诊病例在5月底就将超过4万例。
图28 日本累计、新增确诊与死亡病例数

来源:约翰霍普金斯大学,第一财经研究院
图29 SEIR预测的日本确诊人数

来源:第一财经研究院
图30 社会关系模型预测的日本确诊人数

来源:第一财经研究院
●伊朗疫情前景预测
4月开始伊朗的疫情明显缓和。截至4月25日,伊朗确诊病例为89328例,确诊死亡率为6.3%。两个模型显示,伊朗确诊人数高峰将在5月底(SEIR)或6月初(社会关系模型)出现,累计确诊人数将为11万人(SEIR)或12万人(社会关系模型)。
图31 伊朗累计、新增确诊与死亡病例数

来源:约翰霍普金斯大学,第一财经研究院
图32 SEIR预测的伊朗确诊与治愈人数

来源:第一财经研究院
图33 社会关系模型预测的伊朗确诊人数

来源:第一财经研究院
4.近期爆发国家
●澳大利亚疫情前景预测
澳大利亚疫情已基本得到控制,截至4月25日,澳大利亚确诊病例为6694例。社会关系模型显示,澳大利亚确诊病例将在5月初达到峰值,约为7500例确诊病例;SEIR模型显示,确诊病例高峰将在4月底出现,累计确诊病例为7000人。
图34 澳大利亚累计、新增确诊与死亡病例数

来源:约翰霍普金斯大学,第一财经研究院
图35 SEIR预测的澳大利亚确诊人数

来源:第一财经研究院
图36 社会关系模型预测的澳大利亚确诊人数

来源:第一财经研究院
●土耳其疫情前景预测
土耳其是目前中东确诊病例最多的国家。截至4月25日,土耳其确诊病例为107773例。SEIR显示,6月底土耳其累计确诊人数将达到高峰,峰值为20万人,我们根据死亡率对该国数据进行了调整,结果显示6月底土耳其实际感染人数高峰将达到26万人;社会关系模型则显示,确诊病例将在6月达到30万人的峰值。
图37 土耳其累计、新增确诊与死亡病例数

来源:约翰霍普金斯大学,第一财经研究院
图38 SEIR预测的土耳其确诊人数

来源:第一财经研究院
图39 社会关系模型预测的土耳其确诊人数

来源:第一财经研究院
●埃及疫情前景预测
截至4月25日,埃及确诊病例为4319例。由于仍然处于疫情爆发早期,且受制于检测能力限制,目前判断埃及确诊病例高峰仍然困难。SEIR显示,截至5月底埃及累计确诊人数将至少达到1.3万人;社会关系模型则显示,确诊病例将在6月突破1.1万人。
图40 埃及累计、新增确诊与死亡病例数

来源:约翰霍普金斯大学,第一财经研究院
图41 SEIR预测的埃及确诊人数

来源:第一财经研究院
图42 社会关系模型预测的埃及确诊人数

来源:第一财经研究院
●印度疫情前景预测
截至4月25日,印度确诊病例为26283例。印度政府目前仍未进行大规模检测,因此我们用印度当前事实传染数结合东南亚的传播趋势对其疫情发展进行预测。SEIR显示,截至5月底印度累计确诊人数将至少达到5.5万人,我们根据死亡率对该国数据进行了调整,结果显示印度实际感染人数在5月底会突破7万例;社会关系模型则显示,确诊病例将在6月突破6万人。目前难以预测印度确诊人数高峰时间。
图43 印度累计、新增确诊与死亡病例数

来源:约翰霍普金斯大学,第一财经研究院
图44 SEIR预测的印度确诊人数

来源:第一财经研究院
图45 社会关系模型预测的印度确诊人数

来源:第一财经研究院
●马来西亚疫情前景预测
截至4月25日,马来西亚确诊病例为5742例。由于仍然处于疫情爆发早期,目前判断马来西亚确诊病例高峰仍然困难。SEIR显示,到5月底马来西亚确诊人数将超过9000人。我们根据死亡率对该国数据进行了调整,结果显示5月底马来西亚实际感染人数会超过20000例。
图46 马来西亚累计、新增确诊与死亡病例数

来源:约翰霍普金斯大学,第一财经研究院
图47 SEIR预测的马来西亚确诊人数

来源:第一财经研究院
●南非疫情前景预测
截至4月25日,南非确诊病例为4361例。整个非洲受困于检测能力不足限制,而且南非目前仍处于疫情爆发早期,因此判断确诊病例高峰仍然困难。SEIR显示,到5月底南非确诊人数将超过1.7万例,我们根据死亡率对该国数据进行了调整,结果显示南非实际感染人数在5月底会超过3.6万例。
图48 南非累计、新增确诊与死亡病例数

来源:约翰霍普金斯大学,第一财经研究院
图49 SEIR预测的南非确诊人数

来源:第一财经研究院
*本报告初稿完成于4月30日,5月6日更新